CE.CA.T.I. No. 89; Celaya, Gto. (Secretaría de Educación Pública)


Presentación de la unidad


Unidad 3

Medidas de tendencia central y dispresión

Para cualquier conjunto de datos estudiados es importante tener un resumen de la información y sus características. Esta información indica cómo se comporta la población de datos que tienes. Para resumir la información se utilizan dos tipos de valores que, en vez de representar cada uno de los datos, representan conjuntos de datos. Estos dos tipos de indicadores estadísticos son: las medidas de tendencia central, que muestran hacia qué valores se agrupan o acumulan los datos; y las medidas de dispersión, que de forma contraria a las anteriores, muestran cómo se dispersan o separan los datos.

1.- Medidas de tendencia central

2.- Media

3.- Mediana

4.- Moda

5.- Medidas de dispresión

6.- Recorrido

7.- Varianza

8.- Desviación típica


Propósito de la unidad

En esta unidad:

Aplicarás el procedimiento para obtener las medidas de tendencia central y dispersión en datos agrupados y no agrupados.

Competencia específica

 
Utiliza las medidas de tendencia central y dispersión para describir un conjunto de datos mediante la representación numérica y gráfica de la información obtenida en una muestra o población.

Antes de proceder revise lo siguiente: Medidas de tendencia Central revisa las 3 primeras hojas regresaremos a revisar los ejercicios posteriormente

 
3.1. Medidas de tendencia central

 
Las medidas de tendencia central son los valores que representan un conjunto de datos de forma tal que te ayudan a saber dónde están acumulados los datos sin indicar cómo se distribuyen. Se llaman así porque tienden a ubicarse en la parte central del conjunto de datos. Las medidas de tendencia central más comunes son: la media aritmética (conocida como media o promedio), la mediana y la moda.

 

3.1.1. Media

 

Media aritmética

La media aritmética o, simplemente, media, se denota por x la letra μ (letra griega)  según se calcule en una muestra o en la población, respectivamente.  La media  es resultado de dividir la suma de todos los valores de los datos entre el número total de datos.

La manera como se organizan los datos: no agrupados y agrupados (por frecuencias o intervalos), determina la expresión de la fórmula para calcular la media.


 

Fórmula para datos no agrupados

Los datos no agrupados son aquellos datos que se organizan en una tabla de datos, es decir, cada valor se representa de manera individual. Las fórmulas para calcular la media son:

 








En una población

 




 

En una muestra

 



 

En estas fórmulas la diferencia radica en que, el total de la población se representa con la letra N y el total de la muestra se representa con la letra n.

 

 
Media aritmética

Fórmula para datos agrupados en frecuencias

 

Los datos agrupados en frecuencias son aquellos que se organizan en una tabla de frecuencias, es decir, las tablas que contienen, en una columna, el valor de la variable y, en otra columna, la frecuencia o el número de veces que se repite cada valor en una serie de datos.

 

Las fórmulas para calcular la media con los datos organizados de esta manera son:

 








En una poblacion

 


En una muestra

 


 

 

Media aritmética

Fórmula para datos agrupados en intervalos

Los datos agrupados en intervalos son los que se organizan dentro de un rango establecido entre un límite inferior y un límite superior. Recuerda que las tablas de intervalos muestran el número de datos que abarca cada intervalo (frecuencia por intervalo). Las fórmulas para calcular la media con los datos organizados de esta manera son:








Para población




En una muestra





 Ejercicio para media aritmetica no agrupados y poblacion.

 

Los suguientes documentos te ayudarán a comprender cómo se usan las fórmulas, da clic en los links para revisarlos.

 


Reglas de las sumatorias

 

 


Ejemplo de media en datos no agrupados

 

 

 

Ejemplo de media en datos agrupados por frecuencias

 

 

 

Ejemplo de media en datos agrupados por intervalos

 

Con los datos de este problema, tendrás que obtener las medidas de tendencia central y dispersión, por lo tanto, esta actividad está dividida en seis momentos.

Es importante que la actividad la realices paso a paso, ya que si tienes dudas sobre el uso de las fórmulas, puedes consultarlas a tiempo con tu Instructor; además, tendrás que entregar tu trabajo al final del tema.

Analiza el problema y selecciona la fórmula adecuada para obtener la media aritmética.

No olvides incluir la fórmula y las operaciones que realices.

3.1.2. Mediana

 Mediana

La segunda medida de tendencia central es la mediana, esta se define como:

 El valor que divide en dos partes iguales una serie de datos, es decir, la cantidad de datos que quedan a la derecha de la mediana es igual a la cantidad de datos que quedan a la izquierda. Se representa por Me.

 

Para calcular la mediana, debes hacer lo siguiente:

 
Para cuando la cantidad de valores es impar

 
Ordena los valores de menor a mayor y busca el valor del centro.

Por ejemplo:

1.- Supón que tienes los siguientes valores:
2, 4, 0, 8, 6, 4, 7, 1, 1, 0, 8, 6, 9


2.- Ordena:
0, 0, 1, 1, 2, 4,
4, 6, 6, 7, 8, 8, 9

3.- El dato que divide a la mitad es:
4.- por lo tanto Me: 4

 

Para cuando la cantidad de valores es par

 
Ordena los valores de menor a mayor,busca y promedia los valores del centro.

Por ejemplo:

1.- Supón que tienes los siguientes valores:
5, 7, 2, 3, 1, 6, 9, 8, 6, 4, 7, 1 ,3, 2


2.- Ordena:
1, 1, 2, 2, 3, 3,
4, 5, 6, 6, 7, 7, 8, 9

3.- Busca y promedia los datos del centro:

4.- 4+5=9/2= 4.5, por lo tanto Me: 4.5

 

Mediana en datos agrupados por intervalos

 
Cuando quieres calcular la mediana en datos agrupados por intervalos, tienes que buscar el intervalo donde la frecuencia acumulada llega hasta la mitad de la suma de las frecuencias absolutas, es decir, es necesario localizar el intervalo donde se encuentre N/2, para ello utiliza la siguiente fórmula:

 


Cuadro de texto: Li es el l�mite inferior del intervalo
        donde se encuentra la mediana. es la divisi�n de las frecuencias
        absolutas entre 2. Fi-1 es la frecuencia acumulada anterior al
        intervalo de la mediana. fi es la frecuencia absoluta del
        intervalo donde se encuentra la mediana. ai es la amplitud del
        intervalo.

 

Lee el documento Mediana por intervalos.

 

 



Actividad 2: Medidas de tendencia central. Mediana


Ejemplos de mediana

3.1.3. Moda

 
La tercera medida de tendencia central es la moda.

La moda es el valor que tiene mayor frecuencia absoluta, es decir, el valor que se repite más veces en una serie de datos. La moda se denota por Mo.

 


Cuando todos los valores de la distribución de datos tienen igual número de frecuencia, se dice que no hay moda.

 

Moda en datos agrupados por intervalos

Cuando la distribución de datos es por intervalos de clase, primero se localiza el intervalo que tiene mayor frecuencia absoluta utilizando la siguiente fórmula para calcular la moda:

 


Donde:

Li es el límite inferior del intervalo modal.

fi es la frecuencia absoluta del intervalo modal.

fi-1 es la frecuencia absoluta del intervalo anterior al intervalo modal.

fi+1 es la frecuencia absoluta del intervalo siguiente al intervalo modal.

ai es la amplitud del intervalo.

Lee el documento Moda por intervalos de clase.

Actividad 3: Medidas de tendencia central. Moda

Calcula la moda en el problema Frecuencias. Recuerda que ya debiste haber obtenido la media y la mediana.

3.2. Medidas de dispersión

A diferencia de las medidas de tendencia central, que miden acumulaciones en un solo punto, las medidas de dispersión miden el grado de separación o alejamiento que tiene una variable estadística con respecto a una medida de posición o tendencia central. Dicho grado de separación indica lo representativa que es la medida de posición con respecto al conjunto total de datos. A mayor dispersión, menor representatividad de la medida de posición y viceversa.

3.2.1. Recorrido

El recorrido representa la diferencia que hay entre el primero y el último valor de la variable, tambiérn se le conoce como rango y se denota por Re.

La fórmula para calcularlo es:   


Donde:

máx xi es el valor máximo de la variable
min xi es el valor mínimo de la variable

 

Por ejemplo:

Si tienes la siguiente distribución de datos: 69, 68, 52, 57, 69, 71, 78, 52, 74, 74, 69, 52, 76, calcula el rango, sustituyendo los valores Re=78-52=26

Las actividades de este tema se desarrollarón de manera similar que las actividades del tema anterior. En esta actividad también está disponible un espacio para que plantees tus dudas sobre le tema y el uso de las fórmulas, este foro se titula Medidas de dispersión.

1.Con los datos del problema Frecuencias (el cual trabajaste en actividades anteriores), calcula el recorrido de la distribución.

 

3.2.2. Varianza

 

La varianza mide la mayor o menor dispersión de los valores de la variable respecto a la media aritmética. Siempre es mayor o igual que cero y menor que infinito. Se define como la media de los cuadrados de las diferencias del valor de los datos menos la media aritmética de éstos.

La fórmula de la varianza para datos no agrupados es:

 

Para calcularla en una población:

en excel =varp(rango)


Donde


es la suma de los cuadrados de los valores de X menos la media

 

 

 

 

Para calcularla en una muestra:

en excel =vara(rango)


N, n

es el número total de datos.

 

 

Varianza para datos agrupados por intervalos

La fórmula para calcular la varianza en datos agrupados por intervalos es la siguiente:

 
La fórmula para calcular la varianza en datos agrupados por intervalos es la siguiente:

 

 

Para calcularla en una población:


Donde:

Fi

es la frecuencia del intervalo.

Mci

es la marca de clase del intervalo.

Para calcularla en una muestra:



es la media de la distribución de datos.

N, n

es el número total de datos de la distribución

 

Para ver un ejemplo, lee el documento Varianza en datos agrupados por intervalos.

 

Ya que obtuviste el recorrido de la distribución de datos del problema Frecuencias, calcula la varianza, incluyendo la fórmula y las operaciones.


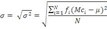
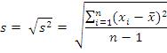
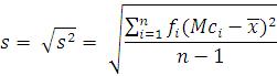
3.2.3. Desviación típica

La desviación típica o estándar muestra qué tan alejado está un dato del valor de la media aritmítica, es decir, la diferencia que hay entre un dato y la media aritmética.

Se denota como S o σ  según se calcule en una muestra o en toda la población, respectivamente.

Se define como la raíz cuadrada positiva de la varianza. Se expresa mediante las siguientes fórmulas:

En datos no agrupados

Para una población

Para una muestra



En datos agrupados agrupados por intervalos

Para una población

Para una muestra



 

Con los datos del libro de Excel tornillos_2 utiliza las funciones de Excel para determinar la Media, la Mediana, la Moda, Recorrido, Varianza.

Con los datos de la varianza que obtuviste en la actividad anterior, calcula la desviación típica en el mismo problema.


Realiza los mismos ejercicios del tema medidas de tendencia central 

Revisa y Realiza los ejemplos del tema de Medidas de dispersion


 ANEXO 1: Manejo de MATLAB con estadistica (basico)